http://www.gso.org/archive/arc.htm

currently 200 documents of recent AA history 001.gif until 200.gif

120 or 150 dpi, black/white (1 bit), 8 x 11 inches or smaller, average file length is 30kB each

home

This page is still under construction.   
We welcome your comments, proposals for links, suggestions and support with scanned material for AA GSO archive. gsomail@gso.org

The following list for the documents was written and forwarded to GSO.ORG by Brian W. -- Thank you Brian!

  • [•] Draft of letter from AAWS to Central Mexicana de Servicios Generales AA saying: no objection to legal action against other AA members.
    [•] [•] Notarized and legalized letter from above draft
    [•] Book prices and affordability of literature in Mexico.
    [•] GSO director Wayne Parks was registered in Mexico as author of "AA Tradition - How it developed by Bill Wilson" Because of such lie the reason for copyright law suit "AA against AA" was made *evident* at court.
    [•] Though AAWS encouraged the litigation AAWS is not ready to respond.
    [•] A letter from Dr. Guzman to George Dorsey on August 1st 1994
    [•] [•] [•] A letter from Dennis Bauer to Bob McElroy. -- We trust our servants until their actions prove them untrustworthy--
    [•] Legal study, June 28, 1990.
    [•] [•] [•] Contents.
    [•] [•] [•] Legal and traditional considerations.
    [•] [•] [•] [•] Movements that have affected A.A. unity. -- How gossip is spread, by AA (Central Mexicana) against other AA (Seccion Mexcico) --
    [•] A letter from George Dorsey to the AAWS directors on February 10, 1994.
    [•] [•] [•] [•] A letter from A.A. Mexico to Esther Hall on July 25,1994.
    [•] A letter from A.A. Mexico to AA General Service Conference on July 25th.
    [•] A letter from A.A.Mexico to A.A. General Service Offices on August 1st 1994.
    [•] A letter from AAWS to Dr. Guzman on Aug. 9th, 1994.
    [•] A letter from A.A. General Service Board to All Conference Members on Aug. 10th 1994.
    [•] A letter from A.A. Mexico to AAWS on Aug. 15, 1994.
    [•] A letter from A.A. Mexico to Thomas K. Jasper.
    [•] [•] [•] A letter from Dennis Bauer to Jim Estelle on Aug. 20th 1994.
    [•] [•] A letter from Dennis Bauer to Xavier Maza on Aug. 24 1994.
    [•] A letter from Jacob B. Ham to A.A. General Service Board on Aug. 25th 1994.
    [•] A letter from Mike McPherson to Jake Ham on Sept. 12, 1994.
    [•] A letter from Jake Ham to A.A. General Service Board on Sept. 14 1994.
    [•] [•] A letter from George Dorsey to Xavier Maza on Sept. 28, 1994.
    [•] A letter from Dennis Bauer to Alberto Pascal on Sept. 29, 1994.
    [•] [•] [•] [•] [•] A letter from A.A. Mexico to A.A General Service Delegates on Oct. 10,1994.
    [•] [•] A fax from Alberto Pascal to Dennis Bauer on Oct 17, 1994
    [•] A letter from A.A. Mexico to Jacob Ham on Oct. 12,1994
    [•] A letter from Jim Estelle, Jr. to Bob 0n Oct. 23,1994.
    [•] A letter from Dennis Bauer to Alberto on Oct. 24,1994.
    [•] [•] [•] A fax from Alberto to Dennis on Oct.31, 1994
    [•] [•] [•] [•] [•] A.A Third Forum, Regions: Center, North and South section Mexico on Oct. 31, 1994.
    [•] A fax from Alberto to John Gillen on Nov. 7,1994.
    [•] [•] [•] [•] [•] [•] A.A. As a Whole by Dennis Bauer on Nov. 26, 1994.
    [•] [•] [•] [•] [•] Principles From Our Past by Dennis Bauer on Nov.26, 1994.
    [•] [•] [•] [•] [•] [•] [•] [•] [•] [•] [•] Unity and the Spirit of Sacrifice on Nov. 27,1994.
    [•] [•] [•] A letter from the General Service Committee of A.A. to Betty James and Bruce Bates on Dec. 23, 1994.
    [•] 1995 Report and Charter Committee Agenda Request on Dec. 23,1994.
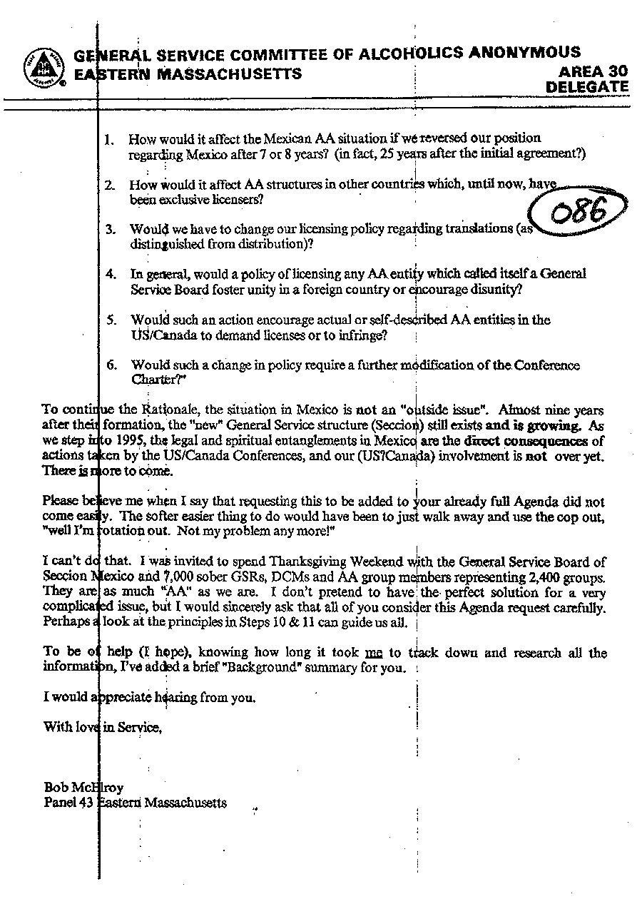
    [•] A letter from Bob McElroy to all members of the 1994 13th World Service Meeting.
    [•] [•] A letter from Bob to Alberto on Dec. 20, 1994.
    [•] [•] [•] [•] [•] A letter from Alberto to Bob on Dec. 25, 1994.
    [•] Copyright Registration 14909/89
    [•] [•] A fax from Alberto to Bob on Dec. 19, 1994.
    [•] A fax from AAWS to George.
    [•] A fax from A.A. Mexico.
    [•] [•] A letter from AAWS to AA in Mexico on Feb. 17 1994.
    [•] [•] [•] [•] [•] [•] A letter from Dennis Bauer with US laws and side notes, Feb. 18, 1994.
    [•] A letter from Dennis Bauer to G. Oliver Koppell on Feb.1, 1994.
    [•] [•] [•] Review of legal documents-AAWS lawsuit.
    [•] [•] [•] [•] [•] [•] [•] [•] [•] [•] [•] [•] [•] [•] [•] [•] [•] [•] [•] [•] [•] [•] [•] [•] AAWS filling charges against Frames of Mind, Inc. and John Anderson, Creative Arts Unlimited on July 24, 1994.
    [•] A letter from the IWS to the Delegates on March 30, 1994.
    [•] Statement of purpose from the IWS.
    [•] The 12 Traditions.
    [•] A letter from the IWS to a concerned AA member.
    [•] Questions and answers about IWS.
    [•] Doesn't IWS's activities violate the Traditions?
    [•] [•] [•] IWS's summary.
    [•] [•] A letter from lawyers Sughrue, Mion, Zinn, Macpeak and Seas to Intergroup World Services, Inc. (IWS) on Oct. 27, 1992.
    [•] A letter from Intergroup World Services, Inc. to the law offices on Nov. 6, 1992.
    [•] A fax from Greg Muth to John Gillen on Nov. 17, 1992.
    [•] A letter from George Dorsey to a fellow AA member.
    [•] A letter from the lawyers to the Intergroup World Services, Inc. on Nov. 19, 1992.
    [•] A letter from IWS to the lawyers on Nov. 25, 1992.
    [•] [•] A letter from the lawyers to IWS on Dec. 3, 1992.
    [•] A letter from IWS to AAWS on Jan. 15, 1993.
    [•] [•] A letter from the lawyers to IWS on Jan. 27, 1993
    [•] A letter from IWS to the lawyers on Feb. 25, 1993.
    [•] A letter from IWS to AAWS on May 10, 1993.
    [•] A letter from IWS to the lawyers on May 15, 1993.
    [•] [•] A letter from the lawyers to IWS on June 18,1993.
    [•] A letter from IWS to AAWS on July 12, 1993.
    [•] A letter from IWS to Greg Muth on July 12 1993.
    [•] A letter from AAWS to IWS on July 30,1993.
    [•] A letter from John G. to the Intergroup on Oct. 23,1993.
    [•] A letter from John G. to the Trustees on Oct. 23, 1993.
    [•] A letter from IWS to the Board of Trustees on Dec. 15, 1993.
    [•] A letter from AAWS to the Board of Trustees on Feb. 1, 1994.
    [•] A letter from AAWS to IWS on Feb. 1, 1994.
    [•] A letter from IWS to AAWS on Feb.14, 1994.
    [•] A letter from IWS to the Board of Trustees on Feb. 25, 1994.
    [•] A letter from AAWS to the IWS on March 18, 1994.
    [•] A letter from AAWS to the IWS on March 25, 1994.
    [•] A letter from IWS to the AAWS on April 6, 1994.
    [•] A letter from AAWS to IWS on May 26, 1994.
    [•] [•] A letter from IWS to AAWS to June 22, 1994.
    [•] A letter from Harold Douse to IWS on May 20, 1994.
    [•] A letter from IWS to Harold Douse on June 22, 1994.
    [•] [•] A letter from AA General Service Office to the Intergroup offices on Aug. 10, 1977.
    [•] [•] A letter from AAWS to the IWS on Aug. 8, 1994.
    [•] A letter from AAWS to all the AA offices on Aug. 12, 1994.
    [•] A letter from AAWS to the IWS on Sept. 23 1994.
    [•] A letter from Gay Garner to Michael McPherson on Sept. 26, 1994.
    [•] A letter from George Dorsey to all AA offices on Sept. 28, 1994.
    [•] A letter from the AA Grapevine to the IWS on Sept. 29, 1994.
    [•] A letter from the IWS to the General Service Board on Oct. 20, 1994.
    [•] A letter from the AA GSB to the IWS on Nov. 1, 1994.
    [•] [•] A letter from AAWS to the IWS on Nov. 9,1994.
    [•] A letter from the AA Grapevine to the IWS on Nov. 10, 1994.
    [•] A letter from George Dorsey to the IWS on Nov. 16, 1994.
    [•] A letter from the South Carolina area of AA to AAWS on Nov.30, 1994.
    [•] A letter from the IWS to a fellow AA member on Dec. 1, 1994.
    [•] A letter from the IWS to a fellow AA member on March 25, 1994.
    [•] A letter from the IWS to AAWS on Dec. 2, 1994.

    updated Nov10, 1997